

Research interests

Methodology
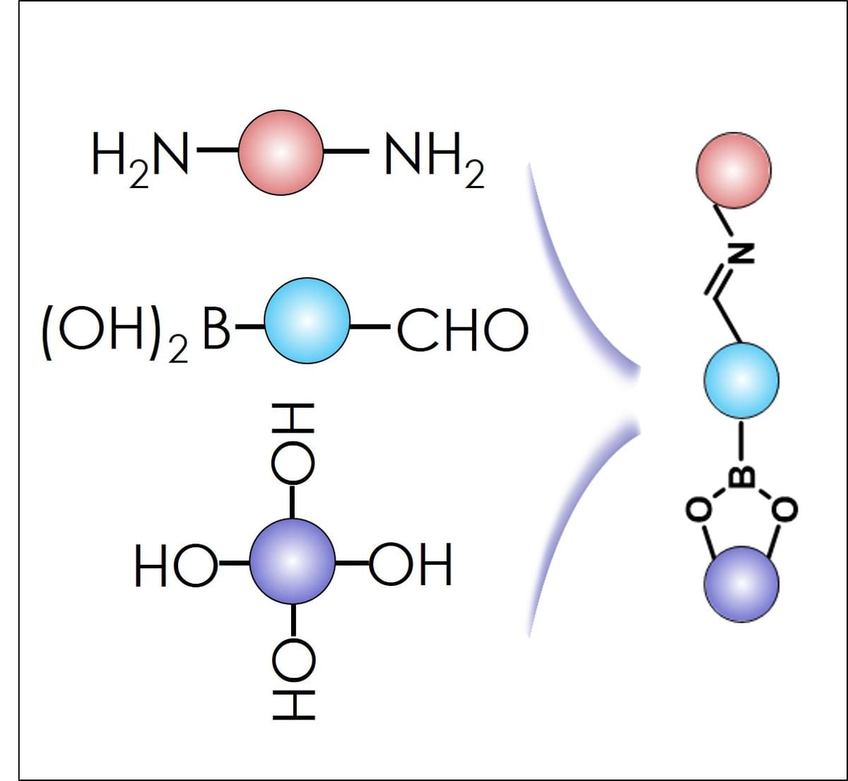
Development of iminoboronate–based reaction-induced self-assembly methodologies.

Morphology
Construction of structurally controlled and morphologically tunable polymeric assemblies.

Evaluation
Application of these assemblies for the treatment of bacterial biofilm–associated infections, including periodontitis, peritonitis, and wound repair.


